https://duua-coding.tistory.com/15
(Lab 7-7)





#define _CRT_SECURE_NO_WARNINGS
#include <stdio.h>
int nplates[3]; // 탑에 몇개의 원판이 있는지 변수
int tower[3][100]; // 어떤 원판들이 있는지 보관
int count = 0;
//타워의 내용 초기화, start 위치에 n개의 원판(n~1)이 있다.
void init_tower(int n, char start) {
int i, tower_no;
//탑의 번호 A, B, C -> 0,1,2
tower_no = start - 'A';
//tower[][] 내용과 nplates[]를 초기화 한다
// nplates[]에 원판의 수를 저장함
for (i = 0; i < 3; i++) {
nplates[i] = 0;
if (i == tower_no)
nplates[i] = n;
}
//tower[0][0] ~ [0][3] = 4, 3, 2, 1 식으로 기억시킨다.
for (i = n; i > 0; i--) {
tower[tower_no][n - i] = i;
}
}
//탑의 현재 상태 표시
void print_tower() {
//tower[][] 내용을 보여준다
for (int i = 0; i < 3; i++) {
printf("%c: ", 'A' + i);
for (int j = 0; j < nplates[i]; j++)
printf("%d ", tower[i][j]);
printf("\n");
}
printf("\n");
printf("다음 Enter :");
getchar();
fflush(stdin); // 버퍼 완전히 비우기
}
void move_one(int n, char from, char to) {
printf("\n원판 %d을 %c에서 %c로 옮긴다.\n", n, from, to);
// nplates[] 와 tower[][] 내용을 수정한다
// from에서는 제일 위의 원판을 빼고
// to 에는 제일 끝에 원판을 추가하고
// nplates[] 값ㅇ르 감소/증가 한다.
// 이동이 발생할 때 마다 print_tower() 호출
int f = from - 'A';
int t = to - 'A';
tower[t][nplates[t]] = tower[f][nplates[f] - 1];
nplates[t]++;
nplates[f]--;
count++;
print_tower();
}
void hanoi_tower(int n, char from, char tmp, char to) {
if (n == 1)
move_one(1, from, to);
else {
hanoi_tower(n - 1, from, to, tmp);
move_one(n, from, to);
hanoi_tower(n-1, tmp, from, to);
}
}
void main() {
init_tower(4, 'A');
printf("초기 상태\n");
print_tower();
hanoi_tower(4, 'A', 'B', 'C');
printf("원판을 모두 옮겼습니다. \n");
printf("원판을 옮긴 횟수: %d\n", count);
}
(Lab7-ACM1)





#define _CRT_SECURE_NO_WARNINGS
#include <stdio.h>
#include <stdlib.h>
void find_fibos(int n);
int find_max_fibo(int n);
void main() {
int nT, num;
scanf("%d", &nT);
for (int i = 0; i < nT; i++) {
scanf("%d", &num);
find_fibos(num);
}
}
void find_fibos(int n) {
if (n == 1) {
printf("%d ", n);
return;
}
else {
int f;
f = find_max_fibo(n);
if (f == n) {
printf("%d ", f);
return;
}
else {
find_fibos(n - f);
printf("%d ", f);
}
}
}
int find_max_fibo(int n) {
int n0 = 0, n1 = 1, n2 = n0 + n1;
if (n == 0) return n0;
else if (n == 1) return n1;
else {
while (n2 <= n) {
n0 = n1;
n1 = n2;
n2 = n0 + n1;
}
return n1;
}
}
#define _CRT_SECURE_NO_WARNINGS
#include <stdio.h>
#include <stdlib.h>
int fibo(int n) {
int a, b, c;
a = 0;
b = 1;
if (n <= 1) {
return n;
}
else {
for (int i = 2; i <= n; i++) {
c = a + b;
a = b;
b = c;
}
return c;
}
}
void print_fibo(int* p, int count) {
for (int i = count; i >= 0; i--)
printf("%d ", p[i]);
printf("\n");
}
void main() {
int t, n, sum, j;
int size = 10, count;
int* p;
scanf("%d", &t);
for (int i = 0; i < t; i++) {
sum = 0;
count = 0;
size = 10;
p = (int*)malloc(sizeof(int) * size);
scanf("%d", &n);
while (sum != n) {
j = 0;
while (fibo(j) <= (n - sum) )
j++;
j--;
if (count >= size) {
size *= 2;
p = (int*)realloc(p, sizeof(int)*size);
}
p[count++] = fibo(j);
sum += fibo(j);
}
print_fibo(p, count-1);
}
}
(Lab 7- ACM2(1))


#define _CRT_SECURE_NO_WARNINGS
#include <stdio.h>
void find_henry(int a, int b);
int main() {
int nT, a, b;
scanf("%d", &nT);
for (int i = 0; i < nT; i++) {
scanf("%d %d", &a, &b);
find_henry(a, b);
}
}
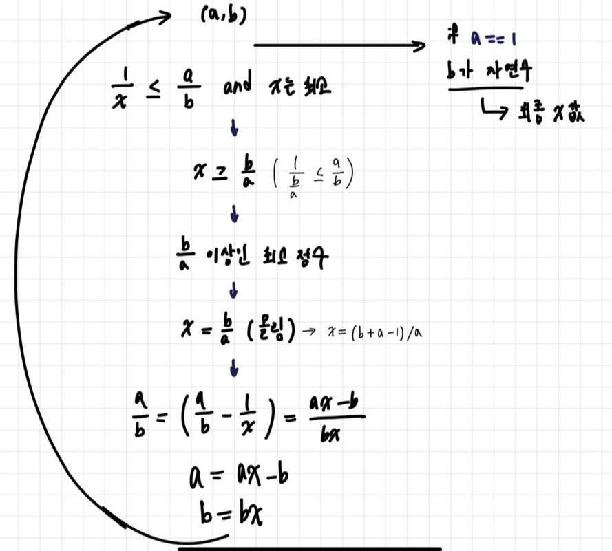
void find_henry(int a, int b) {
if (a == 1) {
printf("%d\n", b);
return;
}
else {
int x = (b + a - 1) / a;
a = a * x - b;
b = b * x;
find_henry(a, b);
}
}
(Lab 7- ACM2(2))

#define _CRT_SECURE_NO_WARNINGS
#include <stdio.h>
void find_henry(int a, int b);
int main() {
int nT, a, b;
scanf("%d", &nT);
for (int i = 0; i < nT; i++) {
scanf("%d %d", &a, &b);
printf("%d/%d = ", a, b);
find_henry(a, b);
}
}
void find_henry(int a, int b) {
if (a == 1) {
printf("1/%d\n", b);
return;
}
else {
int x = (b + a - 1) / a;
printf("1/%d + ", x);
a = a * x - b;
b = b * x;
find_henry(a, b);
}
}'프로그래밍랩' 카테고리의 다른 글
| 기말고사 기출 (0) | 2024.11.29 |
|---|---|
| [프로그래밍랩] 14주차, 난수 (5) | 2024.11.26 |
| 프로그래밍랩 12주차 (0) | 2024.11.19 |
| 프로그래밍랩 10-11 주차 (0) | 2024.11.08 |
| 프로그래밍랩 9주차 (0) | 2024.11.07 |